产品编号:BP3233 CAS No.:87425-34-1 纯度:98% 包装:100mg/20mg/1000mg 品牌:Biopurify
产品编号:BPF0681 CAS No.:130551-41-6 纯度:98% 包装:100mg/20mg/1000mg 品牌:Biopurify
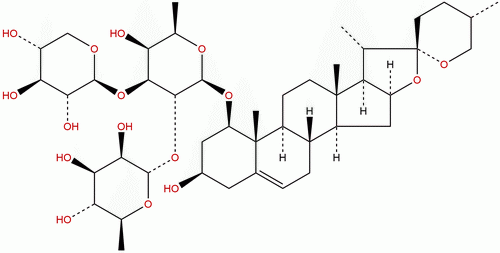
产品编号:BP3865 CAS No.:125150-67-6 纯度:98% 包装:5mg 品牌:Phytounique