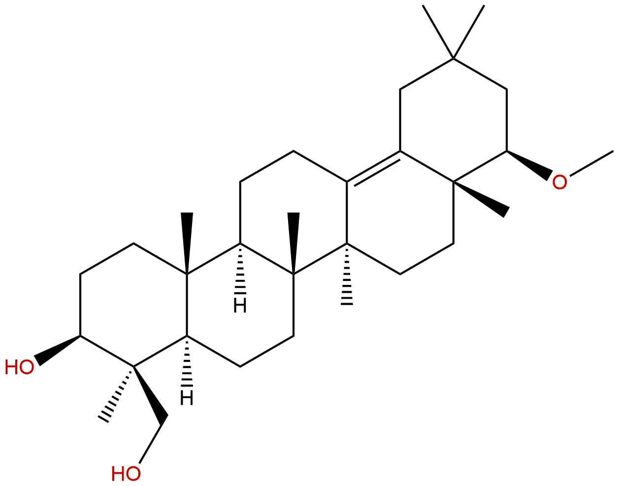
产品名称: 大豆皂苷元D
英文名: Soyasapogenol D
中文别名: 大豆甾醇D
英文别名: (3b,4β,22b)-22-Methoxyolean-13(18)-ene-3,23-diol
Cas 号: 65892-76-4
产品编码:BP4915
分子式: C31H52O3
分子量: 472.754
来源:
化合物类型: 三萜类(Triterpenoids)
纯度: 95%~99%
分析方法: HPLC-DAD or/and HPLC-ELSD
鉴定方法: 质谱(Mass), 核磁(NMR)
包装: 棕色小玻璃瓶,按客户需求包装。
存储: 贮存在避光密闭容器中,冷藏或者冷冻长期保存。
样品溶液最好临用新配。如果需要提前配制的话,最好分成独立包装冷冻保存(-20℃以下),临用前再取出解冻,通常可以保存2周。
可以满足克级以上大量需求,详情请咨询。
提供相关图谱和分析方法指导,可以提供包括色谱柱,标准品和分析方法在内的含量测定整体服务包,价格优惠。


